论文笔记——Rainbow Memory: Continual Learning with a Memory of Diverse Samples
简介
本文聚焦于 rehearsal 策略中样本筛选问题,作者认为,被选择存储在内存中的样本不仅应该代表它们对应的类别,而且应该区别于其他类别。 为了选择这样的样本,作者认为靠近分类边界的样本最具辨别力,靠近分布中心的样本最具代表性。
为了满足这两个特征,本文提出对特征空间中不同的样本进行采样,提出一种新的多样性感知采样方法,通过利用分类不确定性有效管理容量有限的内存。另外,为了进一步提升样本多样性,本文建议采用 data augmentation。
另外,如 Fig 2 所示,本文针对现实中更可能的增量环境 Blurry-CIL (每次新任务中也会包含少量之前看过的类别,任务与任务之间并非完全隔绝的) 做了研究,探讨了该环境下的增量学习问题。

方法
Diversity-Aware Memory Update

为了确保多样性,需要估计每个样本在类别判别特征空间中的相对位置。 但是计算特征的相对位置在计算上是昂贵的,因为它需要计算样本到样本的距离 $(O(N^2))$。 相反,本文建议通过分类模型估计的样本的不确定性来估计相对位置,即假设模型的更确定样本将位于更靠近类分布中心的位置,反之亦然。


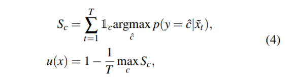
Algorithm 1 给出了样例更新的流程,其中公式 4 如上所示。在公式4中,$u(x)$ 表示样本 $x$ 的不确定性,$S_c$ 是类别 $c$ 是预测的 top-1 类别的次数。$1_c$ 表示二进制索引向量。 值较低的 $u(x)$ 对应于扰动上更一致的 top-1 类,表明 $x$ 位于模型非常自信的区域。
公式 4 的思想很直观,如 Fig 3 所示,对输入施加扰动,然后计算扰动样本 $\tilde{x}$ 被推断为正确类的次数 $S_c$,最后计算得到 $u(x)$。显然,$Sc$越大,$u(x)$越小,从而不确定性越小。
Diversity Enhancement by Augmentation
Mixed-Label Data Augmentation
随着任务迭代的进行,新任务中的样本可能遵循与情景记忆中的样本(即之前的任务)不同的分布。RW采用混合标记的 DA (data augmentation) 来“混合”新任务类中的图像和内存中旧类的样本。 这种混合标签 DA 减轻了由任务上的类分布变化引起的副作用并提高了性能。
作为代表性的混合标记 DA 方法之一,CutMix [1] 生成混合样本和平滑标签,给定一组监督样本 $(x1, y1)$ 和 $(x2, y2)$,如下所示:

其中,集合 $m$ 表示根据从beta分布中提取的超参数$β$为图像x1随机选择的像素区域。如(5)所示,混合标签DA生成的人工样本很难被视为源图像的变体,这与传统数据增强不同,传统数据增强在不破坏类边界的情况下通过翻转、旋转和/或对比操作原始图像。
Automated Data Augmentation. 除了上述混合标记的 DAs 之外,RW进一步使用 AutoDA 通过在 CIL 下将多个 DA 合成到模型性能上来丰富增强效果。 特别是,文章采用 AutoAugment [2],提供用于确定增强次数及其幅度的参数。([2] 就是一种自动化增强数据的方法)
实验


实验结果显示本方法在 online CIL中有效,而在offline CIL中无效。为什么会出现这种情况,文章并未解释。
参考
- Sangdoo Yun, Dongyoon Han, Seong Joon Oh, Sanghyuk Chun, Junsuk Choe, and Youngjoon Yoo. Cutmix: Regularization strategy to train strong classifiers with localizable features. In ICCV, pages 6023–6032, 2019.
- Ekin D. Cubuk, Barret Zoph, Dandelion Mane, Vijay Vasudevan, and Quoc V. Le. AutoAugment: Learning augmentation strategies from data. In CVPR, June 2019.
附录
online CIL: 在在线模式中,除了被选为样本的样本外,传入样本仅呈现给模型一次,因为它没有足够大的缓冲区来保存整个流样本。