目录

OpenGL学习笔记——基础部分

1. 你好,三角形

基于OpenGL绘制三角形

  1
  2
  3
  4
  5
  6
  7
  8
  9
 10
 11
 12
 13
 14
 15
 16
 17
 18
 19
 20
 21
 22
 23
 24
 25
 26
 27
 28
 29
 30
 31
 32
 33
 34
 35
 36
 37
 38
 39
 40
 41
 42
 43
 44
 45
 46
 47
 48
 49
 50
 51
 52
 53
 54
 55
 56
 57
 58
 59
 60
 61
 62
 63
 64
 65
 66
 67
 68
 69
 70
 71
 72
 73
 74
 75
 76
 77
 78
 79
 80
 81
 82
 83
 84
 85
 86
 87
 88
 89
 90
 91
 92
 93
 94
 95
 96
 97
 98
 99
100
101
102
103
104
105
106
107
108
109
110
111
112
113
114
115
116
117
118
119
120
121
122
123
124
125
126
127
128
129
130
131
132
133
134
135
136
137
138
139
140
141
142
143
144
145
146
147
148
149
150
151
152
153
154
155
156
157
158
159
160
161
162
163
164
165
166
167
168
169
170
171
172
173
174
175
176
177
178
179
180
181
182
183
#include <glad/glad.h>
#include <GLFW/glfw3.h>
#include <iostream>

const char* vertexShaderSource = "#version 330 core\n"
"layout (location = 0) in vec3 aPos;\n"
"void main()\n"
"{\n"
"   gl_Position = vec4(aPos.x, aPos.y, aPos.z, 1.0);\n"
"}\0";

const char* fragmentShaderSource = "#version 330 core\n"
"out vec4 FragColor;\n"
"void main()\n"
"{\n"
"	FragColor = vec4(1.0f, 0.5f, 0.2f, 1.0f);\n"
"}\0";

// 对窗口注册一个回调函数(Callback Function),它会在每次窗口大小被调整的时候被调用
void framebuffer_size_callback(GLFWwindow* window, int width, int height) {
	glViewport(0, 0, width, height);
}

// 处理输入
void processInput(GLFWwindow* window)
{
	if (glfwGetKey(window, GLFW_KEY_ESCAPE) == GLFW_PRESS)
		glfwSetWindowShouldClose(window, true);
}

int main() {
	glfwInit();		// 初始化GLFW
	GLFWwindow* window = glfwCreateWindow(800, 600, "LearnOpenGL", NULL, NULL);		// 创建窗口
	if (window == NULL) {
		std::cout << "Failed to create GLFW window" << std::endl;
		glfwTerminate();
		return -1;
	}
	// 将该窗口作为当前线程的主上下文
	glfwMakeContextCurrent(window);		

	//GLAD是管理OpenGL指针的,在调用任何OpenGL的函数之前需要初始化GLAD
	if (!gladLoadGLLoader((GLADloadproc)glfwGetProcAddress)) {
		std::cout << "Failed to initialize GLAD" << std::endl;
		return -1;
	}

	// 设置视口维度
	// glViewport函数前两个参数控制窗口左下角的位置
	// 第三个和第四个参数控制渲染窗口的宽度和高度(像素)
	glViewport(0, 0, 800, 600);
	// 监听窗口大小变化
	glfwSetFramebufferSizeCallback(window, framebuffer_size_callback);	

	// 定义顶点着色器
	unsigned int vertexShader;
	vertexShader = glCreateShader(GL_VERTEX_SHADER);
	glShaderSource(vertexShader, 1, &vertexShaderSource, NULL);
	glCompileShader(vertexShader);

	// 检测是否编译成功
	int success;
	char infoLog[512];			//  存储错误信息的容器(如果有的话)
	glGetShaderiv(vertexShader, GL_COMPILE_STATUS, &success);
	if (!success) {
		glGetShaderInfoLog(vertexShader, 512, NULL, infoLog);
		std::cout << "ERROR::SHADER::VERTEX::COMPILATION_FAILED\n" << infoLog << std::endl;
	}

	// 定义片元着色器
	unsigned int fragmentShader;
	fragmentShader = glCreateShader(GL_FRAGMENT_SHADER);
	glShaderSource(fragmentShader, 1, &fragmentShaderSource, NULL);
	glCompileShader(fragmentShader);

	glGetShaderiv(fragmentShader, GL_COMPILE_STATUS, &success);
	if (!success) {
		glGetShaderInfoLog(fragmentShader, 512, NULL, infoLog);
		std::cout << "ERROR::SHADER::FRAGMENT::COMPILATION_FAILED\n" << infoLog << std::endl;
	}

	// 定义着色器程序
	unsigned int shaderProgram;
	shaderProgram = glCreateProgram();
	glAttachShader(shaderProgram, vertexShader);
	glAttachShader(shaderProgram, fragmentShader);
	glLinkProgram(shaderProgram);

	// 检测是否链接成功
	glGetProgramiv(shaderProgram, GL_LINK_STATUS, &success);
	if (!success) {
		glGetProgramInfoLog(shaderProgram, 512, NULL, infoLog);
		std::cout << "ERROR::SHADER::PROGRAM::LINK_FAILED\n" << infoLog << std::endl;
	}

	// 链接完毕后,我们已经不再需要着色器了
	glDeleteShader(vertexShader);
	glDeleteShader(fragmentShader);

	float vertices[] = {
		0.5f, 0.5f, 0.0f,   // 右上角
		0.5f, -0.5f, 0.0f,  // 右下角
		-0.5f, -0.5f, 0.0f, // 左下角
		-0.5f, 0.5f, 0.0f,  // 左上角
	};

	// 定义三角形的索引,使用这种数据结构可以节约内存空间
	unsigned int indices[] = { // 注意索引从0开始! 
		0, 1, 3, // 第一个三角形
		1, 2, 3, // 第二个三角形
	};

	// 定义顶点缓冲对象
	unsigned int VBO;
	glGenBuffers(1, &VBO);
	// 定义顶点数组对象
	unsigned int VAO;
	glGenVertexArrays(1, &VAO);
	// 定义索引缓冲对象
	unsigned int EBO;
	glGenBuffers(1, &EBO);

	// 1. 绑定VAO
	glBindVertexArray(VAO);
	// 2. 把顶点数组复制到缓冲中供OpenGL使用
	glBindBuffer(GL_ARRAY_BUFFER, VBO);
	glBufferData(GL_ARRAY_BUFFER, sizeof(vertices), vertices, GL_STATIC_DRAW);
	// 3. 复制我们的索引数组到一个索引缓冲中,供OpenGL使用
	glBindBuffer(GL_ELEMENT_ARRAY_BUFFER, EBO);
	glBufferData(GL_ELEMENT_ARRAY_BUFFER, sizeof(indices), indices, GL_STATIC_DRAW);
	// 4. 设置顶点属性指针
	glVertexAttribPointer(0, 3, GL_FLOAT, GL_FALSE, 3 * sizeof(float), (void*)0);
	glEnableVertexAttribArray(0);
	/*
	glVertexAttribPointer():
	第一个参数指定要配置的顶点属性
	第二个参数指定顶点属性的大小。顶点属性是一个vec3,它由3个值组成,所以大小是3。
	第三个参数指定数据的类型,这里是GL_FLOAT
	第四个参数定义我们是否希望数据被标准化(Normalize)。如果我们设置为GL_TRUE,
	所有数据都会被映射到0(对于有符号型signed数据是-1)到1之间。我们把它设置为GL_FALSE。
	第五个参数叫做步长(Stride),它告诉我们在连续的顶点属性组之间的间隔
	从这个属性第二次出现的地方到整个数组0位置之间有多少字节
	最后一个参数的类型是void*,所以需要我们进行这个奇怪的强制类型转换。
	它表示位置数据在缓冲中起始位置的偏移量(Offset)。
	*/

	// glPolygonMode(GL_FRONT_AND_BACK, GL_LINE); 
	// 用于决定绘制风格,默认为GL_FILL表示填充,而GL_LINE则为线框模式

	// 开始循环渲染
	while (!glfwWindowShouldClose(window))
	{
		// 输入
		processInput(window);

		// 清屏
		glClearColor(0.2f, 0.3f, 0.3f, 1.0f);
		glClear(GL_COLOR_BUFFER_BIT);

		// 渲染指令
		glUseProgram(shaderProgram);
		glBindVertexArray(VAO);		// 由于我们只有一个VAO,所以没有必要每次都绑定它,但是我们这样做是为了让事情更有条理
		glDrawElements(GL_TRIANGLES, 6, GL_UNSIGNED_INT, 0);
		/*
		glDrawElements():
		第一个参数指定了我们绘制的模式,这个和glDrawArrays的一样
		第二个参数是打算绘制顶点的个数,这里填6,即一共需要绘制6个顶点
		第三个参数是索引的类型
		最后一个参数里可以指定EBO中的偏移量(或者传递一个索引数组,但是这是当你不在使用索引缓冲对象的时候)
		*/

		// 检查并调用事件,交换缓冲
		glfwPollEvents();
		glfwSwapBuffers(window);
	}
	// 退出前清理
	glDeleteVertexArrays(1, &VAO);
	glDeleteBuffers(1, &VBO);
	glDeleteBuffers(1, &EBO);

	glfwTerminate();
	return 0;
}

2. 着色器

2.1 着色器头文件

通过对着色器进行封装,可以简化我们的操作

  1
  2
  3
  4
  5
  6
  7
  8
  9
 10
 11
 12
 13
 14
 15
 16
 17
 18
 19
 20
 21
 22
 23
 24
 25
 26
 27
 28
 29
 30
 31
 32
 33
 34
 35
 36
 37
 38
 39
 40
 41
 42
 43
 44
 45
 46
 47
 48
 49
 50
 51
 52
 53
 54
 55
 56
 57
 58
 59
 60
 61
 62
 63
 64
 65
 66
 67
 68
 69
 70
 71
 72
 73
 74
 75
 76
 77
 78
 79
 80
 81
 82
 83
 84
 85
 86
 87
 88
 89
 90
 91
 92
 93
 94
 95
 96
 97
 98
 99
100
101
102
103
104
105
106
107
108
109
110
111
112
113
114
115
116
117
118
119
120
121
122
123
124
#ifndef SHADER_H
#define SHADER_H

#include <glad/glad.h>

#include <string>
#include <fstream>
#include <sstream>
#include <iostream>

class Shader {
public:
	// 程序ID
	unsigned int ID;

	// 构造器读取并构建着色器
	Shader(const GLchar* vertexPath, const GLchar* fragmentPath);
	// 使用/激活程序
	void use();
	// uniform工具函数
	void setBool(const std::string& name, bool value) const;
	void setInt(const std::string& name, int value) const;
	void setFloat(const std::string& name, float value) const;
};

Shader::Shader(const GLchar* vertexPath, const GLchar* fragmentPath) {
	// 1. 从文件路径中获取顶点/片段着色器
	std::string vertexCode;
	std::string fragmentCode;
	std::ifstream vShaderFile;
	std::ifstream fShaderFile;
	// 保证ifstream对象可以抛出异常:
	vShaderFile.exceptions(std::ifstream::failbit | std::ifstream::badbit);
	fShaderFile.exceptions(std::ifstream::failbit | std::ifstream::badbit);
	try
	{
		// 打开文件
		vShaderFile.open(vertexPath);
		fShaderFile.open(fragmentPath);
		std::stringstream vShaderStream, fShaderStream;
		// 读取文件的缓冲内容到数据流中
		vShaderStream << vShaderFile.rdbuf();
		fShaderStream << fShaderFile.rdbuf();
		// 关闭文件处理器
		vShaderFile.close();
		fShaderFile.close();
		// 转换数据流到string
		vertexCode = vShaderStream.str();
		fragmentCode = fShaderStream.str();
	}
	catch (std::ifstream::failure e)
	{
		std::cout << "ERROR::SHADER::FILE_NOT_SUCCESFULLY_READ" << std::endl;
	}
	const char* vShaderCode = vertexCode.c_str();
	const char* fShaderCode = fragmentCode.c_str();

	// 2. 编译着色器
	unsigned int vertex, fragment;
	int success;
	char infoLog[512];

	// 顶点着色器
	vertex = glCreateShader(GL_VERTEX_SHADER);
	glShaderSource(vertex, 1, &vShaderCode, NULL);
	glCompileShader(vertex);
	// 打印编译错误(如果有的话)
	glGetShaderiv(vertex, GL_COMPILE_STATUS, &success);
	if (!success)
	{
		glGetShaderInfoLog(vertex, 512, NULL, infoLog);
		std::cout << "ERROR::SHADER::VERTEX::COMPILATION_FAILED\n" << infoLog << std::endl;
	};

	// 片元着色器
	fragment = glCreateShader(GL_FRAGMENT_SHADER);
	glShaderSource(fragment, 1, &fShaderCode, NULL);
	glCompileShader(fragment);
	// 打印编译错误(如果有的话)
	glGetShaderiv(fragment, GL_COMPILE_STATUS, &success);
	if (!success) {
		glGetShaderInfoLog(fragment, 512, NULL, infoLog);
		std::cout << "ERROR::SHADER::FRAGMENT::COMPILATION_FAILED\n" << infoLog << std::endl;
	}

	// 着色器程序
	ID = glCreateProgram();
	glAttachShader(ID, vertex);
	glAttachShader(ID, fragment);
	glLinkProgram(ID);
	// 打印连接错误(如果有的话)
	glGetProgramiv(ID, GL_LINK_STATUS, &success);
	if (!success)
	{
		glGetProgramInfoLog(ID, 512, NULL, infoLog);
		std::cout << "ERROR::SHADER::PROGRAM::LINKING_FAILED\n" << infoLog << std::endl;
	}

	// 删除着色器,它们已经链接到我们的程序中了,已经不再需要了
	glDeleteShader(vertex);
	glDeleteShader(fragment);
}

void Shader::use()
{
	glUseProgram(ID);
}

void Shader::setBool(const std::string& name, bool value) const
{
	glUniform1i(glGetUniformLocation(ID, name.c_str()), (int)value);
}

void Shader::setInt(const std::string& name, int value) const
{
	glUniform1i(glGetUniformLocation(ID, name.c_str()), value);
}

void Shader::setFloat(const std::string& name, float value) const
{
	glUniform1f(glGetUniformLocation(ID, name.c_str()), value);
}

#endif // !SHADER_H

2.2 简单的顶点着色器和片元着色器

顶点着色器:

 1
 2
 3
 4
 5
 6
 7
 8
 9
10
11
#version 330 core
layout (location = 0) in vec3 aPos;		// 位置变量的属性位置值为 0
layout (location = 1) in vec3 aColor;	// 颜色变量的属性位置值为 1

out vec3 ourColor;  					// 向片段着色器输出一个颜色

void main()
{
	gl_Position = vec4(aPos.x, aPos.y, aPos.z, 1.0);				// 把一个vec3作为vec4的构造器的参数
	ourColor = aColor;
}

片元着色器:

1
2
3
4
5
6
7
8
9
#version 330 core
out vec4 FragColor;

in vec3 ourColor;   

void main()
{
    FragColor = vec4(ourColor, 1.0);
}

2.3 头文件调用样例

 1
 2
 3
 4
 5
 6
 7
 8
 9
10
11
12
13
14
15
16
17
18
19
20
21
22
23
24
25
26
27
28
29
30
31
32
33
34
35
36
37
38
39
40
41
42
43
44
45
46
47
48
49
50
51
52
53
54
55
56
57
58
59
60
61
62
63
64
65
66
67
68
69
70
71
72
73
74
75
76
77
78
79
80
81
82
83
84
85
86
87
88
89
90
#include <glad/glad.h>
#include <GLFW/glfw3.h>
#include <iostream>
#include <Shader.h>

void framebuffer_size_callback(GLFWwindow* window, int width, int height) {
	glViewport(0, 0, width, height);
}

void processInput(GLFWwindow* window)
{
	if (glfwGetKey(window, GLFW_KEY_ESCAPE) == GLFW_PRESS)
		glfwSetWindowShouldClose(window, true);
}

int main() {
	glfwInit();
	GLFWwindow* window = glfwCreateWindow(800, 600, "LearnOpenGL", NULL, NULL);

	if (window == NULL) {
		std::cout << "Failed to create GLFW window" << std::endl;
		glfwTerminate();
		return -1;
	}
	glfwMakeContextCurrent(window);

	if (!gladLoadGLLoader((GLADloadproc)glfwGetProcAddress)) {
		std::cout << "Failed to initialize GLAD" << std::endl;
		return -1;
	}

	glViewport(0, 0, 800, 600);
	glfwSetFramebufferSizeCallback(window, framebuffer_size_callback);

	// 创建并编译我们的渲染器
	// ------------------------------------
	Shader ourShader("D:/C++ Project/OpenGL Project/shaders/3.3.shader.vs", 
		"D:/C++ Project/OpenGL Project/shaders/3.3.shader.fs"); // 你可以为编译器文件赋予任意的名称

	float vertices[] = {
		// 位置              // 颜色
		 0.5f, -0.5f, 0.0f,  1.0f, 0.0f, 0.0f,   // 右下
		-0.5f, -0.5f, 0.0f,  0.0f, 1.0f, 0.0f,   // 左下
		 0.0f,  0.5f, 0.0f,  0.0f, 0.0f, 1.0f    // 顶部
	};

	// 定义顶点缓冲对象
	unsigned int VBO;
	glGenBuffers(1, &VBO);
	// 定义顶点数组对象
	unsigned int VAO;
	glGenVertexArrays(1, &VAO);

	// 1. 绑定VAO
	glBindVertexArray(VAO);
	// 2. 把顶点数组复制到缓冲中供OpenGL使用
	glBindBuffer(GL_ARRAY_BUFFER, VBO);
	glBufferData(GL_ARRAY_BUFFER, sizeof(vertices), vertices, GL_STATIC_DRAW);
	// 3. 设置顶点属性指针: 位置,颜色(颜色的offset是 3 * sizeof(float))
	glVertexAttribPointer(0, 3, GL_FLOAT, GL_FALSE, 6 * sizeof(float), (void*)0);
	glEnableVertexAttribArray(0);

	glVertexAttribPointer(1, 3, GL_FLOAT, GL_FALSE, 6 * sizeof(float), (void*)(3 * sizeof(float)));
	glEnableVertexAttribArray(1);

	while (!glfwWindowShouldClose(window))
	{
		// 输入
		processInput(window);

		// 清屏
		glClearColor(0.2f, 0.3f, 0.3f, 1.0f);
		glClear(GL_COLOR_BUFFER_BIT);

		// 渲染指令
		ourShader.use();
		glBindVertexArray(VAO);		// 由于我们只有一个VAO,所以没有必要每次都绑定它,但是我们这样做是为了让事情更有条理
		glDrawArrays(GL_TRIANGLES, 0, 3);

		// 检查并调用事件,交换缓冲
		glfwPollEvents();
		glfwSwapBuffers(window);
	}
	// 退出前清理
	glDeleteVertexArrays(1, &VAO);
	glDeleteBuffers(1, &VBO);

	glfwTerminate();
	return 0;
}

3. 纹理

纹理就是物体自身固有的属性,通常由艺术家们负责定义。对于程序员而言,主要工作在于保证材质能够准确地被贴到物体上。(注意,材质激活的顺序要与材质加载顺序保持一致!)

 1
 2
 3
 4
 5
 6
 7
 8
 9
10
11
12
13
14
15
16
17
18
19
20
21
22
23
24
25
26
27
28
29
30
31
32
33
34
35
36
37
38
39
40
41
42
43
44
45
46
47
48
49
50
// 加载2D材质函数
unsigned int loadTexture(char const* path)
{
	unsigned int textureID;
	glGenTextures(1, &textureID);
	
	// stbi_set_flip_vertically_on_load(true);	// 很多图片的y轴位置在顶部,而OpenGL的y轴位置在底部。调用这条指令可以完成图片的颠倒
	int width, height, nrComponents;
	unsigned char* data = stbi_load(path, &width, &height, &nrComponents, 0);
	if (data)
	{
		GLenum format;
		if (nrComponents == 1)
			format = GL_RED;
		else if (nrComponents == 3)
			format = GL_RGB;
		else if (nrComponents == 4)
			format = GL_RGBA;

		glBindTexture(GL_TEXTURE_2D, textureID);
		glTexImage2D(GL_TEXTURE_2D, 0, format, width, height, 0, format, GL_UNSIGNED_BYTE, data);
		glGenerateMipmap(GL_TEXTURE_2D);
		// 纹理环绕。下面两条指令指定了s轴和t轴的纹理环绕方式
		// GL_REPEAT			对纹理的默认行为。重复纹理图像。
		// GL_MIRRORED_REPEAT	和GL_REPEAT一样,每次重复图片是镜像放置的。
		// GL_CLAMP_TO_EDGE		纹理坐标会被约束在0到1之间,超出的部分会重复纹理坐标的边缘,产生一种边缘被拉伸的效果。
		// GL_CLAMP_TO_BORDER	超出的坐标为用户指定的边缘颜色。
		glTexParameteri(GL_TEXTURE_2D, GL_TEXTURE_WRAP_S, GL_REPEAT);
		glTexParameteri(GL_TEXTURE_2D, GL_TEXTURE_WRAP_T, GL_REPEAT);
		// 纹理过滤。下面两条指定了近处和远处的纹理过滤方式
		// GL_LINEAR表示采用双线性插值进行采样,GL_NEAREST表示采用最近邻采样
		// 多级渐远纹理(mipmap)——解决远处纹理分辨率过高导致贴图不准确的问题,同时节省性能消耗。
		// GL_NEAREST_MIPMAP_NEAREST	使用最邻近的多级渐远纹理来匹配像素大小,并使用邻近插值进行纹理采样
		// GL_LINEAR_MIPMAP_NEAREST 	使用最邻近的多级渐远纹理级别,并使用线性插值进行采样
		// GL_NEAREST_MIPMAP_LINEAR		在两个最匹配像素大小的多级渐远纹理之间进行线性插值,使用邻近插值进行采样
		// GL_LINEAR_MIPMAP_LINEAR		在两个邻近的多级渐远纹理之间使用线性插值,并使用线性插值进行采样
		glTexParameteri(GL_TEXTURE_2D, GL_TEXTURE_MIN_FILTER, GL_LINEAR);
		glTexParameteri(GL_TEXTURE_2D, GL_TEXTURE_MAG_FILTER,  GL_LINEAR_MIPMAP_LINEAR);
		

		stbi_image_free(data);
	}
	else
	{
		std::cout << "Texture failed to load at path: " << path << std::endl;
		stbi_image_free(data);
	}

	return textureID;
}

4. 变换、坐标系统、摄像机

4.0 GLM

由于OpenGL没有自带任何的矩阵和向量知识,为了能够使用我们需要自定义相应的数学类和函数。幸运的是,这样的工作已经有人做过了,通过调用GLM库,我们可以很愉快的跳过自己定义的部分。 GLM是OpenGL Mathematics的缩写,它是一个只有头文件的库,也就是说我们只需包含对应的头文件就行了,不用链接和编译。GLM可以在它们的网站上下载。把头文件的根目录复制到你的includes文件夹,然后你就可以使用这个库了。 GLM的大多数功能都可以从下面这3个头文件中找到:

1
2
3
#include <glm/glm.hpp>
#include <glm/gtc/matrix_transform.hpp>
#include <glm/gtc/type_ptr.hpp>

(Tips: 0.9.9版以后,默认矩阵会被初始化位一个零矩阵,为了能够顺利使用,需要将其初始化为单位矩阵)

4.1 总述

本部分主要涉及图形学中三维空间到二维空间的模型变换问题。其中最核心的部分在于model, view, projection三种变换。

model——旨在三维空间中对模型进行各种变换,包括缩放、旋转、位移(先缩放,再位移)。为了能够使得偏移可以被完成,故存放三维物体的实际是一个4x4的矩阵。相应的,空间中的向量也包含4个变量,形如$(x,y,z,w)$。引入多一维度,也是为了避免旋转过程中出现万向节死锁(Gimbal Lock, 万向节死锁的出现是因为我们始终按照某一种固定顺序对3x3的三维空间物体做旋转) (引入$w$分量后坐标变为齐次坐标。当$w$为1,说明其为三维空间上的一个点;当$w$为零,则说明其为三维空间上的向量。我们可以通过让 $x$, $y$, $z$ 分量除以 $w$ 来它们的范围落到 [-1, 1] 之间)

view——视图主要是呈现在屏幕上的画面,通过视图变换,可以决定3D空间中的物体具体要投影到世界坐标系中的哪个平面当中。

 1
 2
 3
 4
 5
 6
 7
 8
 9
10
11
12
13
14
15
16
17
18
19
20
21
22
23
24
25
26
27
28
29
30
31
32
33
34
35
36
37
38
/*LookAT()函数用以创建观察矩阵*/

// Custom implementation of the LookAt function
glm::mat4 calculate_lookAt_matrix(glm::vec3 position, glm::vec3 target, glm::vec3 worldUp)
{
    // 1. Position = known
    // 2. Calculate cameraDirection
    glm::vec3 zaxis = glm::normalize(position - target);
    // 3. Get positive right axis vector
    glm::vec3 xaxis = glm::normalize(glm::cross(glm::normalize(worldUp), zaxis));
    // 4. Calculate camera up vector
    glm::vec3 yaxis = glm::cross(zaxis, xaxis);

    // Create translation and rotation matrix
    // In glm we access elements as mat[col][row] due to column-major layout
    glm::mat4 translation = glm::mat4(1.0f); // Identity matrix by default
    translation[3][0] = -position.x; // Third column, first row
    translation[3][1] = -position.y;
    translation[3][2] = -position.z;
    glm::mat4 rotation = glm::mat4(1.0f);
    rotation[0][0] = xaxis.x; // First column, first row
    rotation[1][0] = xaxis.y;
    rotation[2][0] = xaxis.z;
    rotation[0][1] = yaxis.x; // First column, second row
    rotation[1][1] = yaxis.y;
    rotation[2][1] = yaxis.z;
    rotation[0][2] = zaxis.x; // First column, third row
    rotation[1][2] = zaxis.y;
    rotation[2][2] = zaxis.z; 

    // Return lookAt matrix as combination of translation and rotation matrix
    return rotation * translation; // Remember to read from right to left (first translation then rotation)
}


// Don't forget to replace glm::lookAt with your own version
// view = glm::lookAt(glm::vec3(camX, 0.0f, camZ), glm::vec3(0.0f, 0.0f, 0.0f), glm::vec3(0.0f, 1.0f, 0.0f));
view = calculate_lookAt_matrix(glm::vec3(camX, 0.0f, camZ), glm::vec3(0.0f, 0.0f, 0.0f), glm::vec3(0.0f, 1.0f, 0.0f));

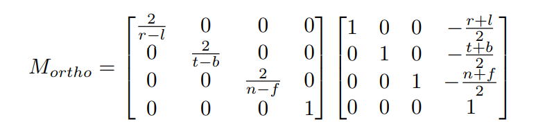
projection——投影的主要作用在于把三维空间中的物体投影到二维平面上,主要有正射投影和透视投影。正射投影比较简单,可视范围是一个长方体,直接把3D空间中长方体范围内的点投影到屏幕上即可。投射投影则更加自然,从摄像机出发,其可视范围是一个视锥体,需要先将其转换为长方体,然后再进行投影。

1
2
3
4
glm::mat4 proj = glm::perspective(glm::radians(45.0f), (float)width/(float)height, 0.1f, 100.0f);
// 它的第一个参数定义了fov(Field of View)的值,并且设置了观察空间的大小。如果想要一个真实的观察效果,它的值通常设置为45.0f,但想要一个末日风格的结果你可以将其设置一个更大的值。
// 第二个参数设置了宽高比,由视口的宽除以高所得。
// 第三和第四个参数设置了平截头体的近和远平面。我们通常设置近距离为0.1f,而远距离设为100.0f。

透视投影矩阵:

https://i.loli.net/2021/06/06/z36uA5jvDwLk9Xx.pnghttps://img-blog.csdnimg.cn/2021041822545568.png#pic_centerhttps://img-blog.csdnimg.cn/2021041822551063.png#pic_center

4.2 摄像机类

定义一个摄像机类可以帮助我们更方便管理摄像机的相关操作。摄像机在游戏中意味着玩家的眼睛,直接反映了玩家所能看到的游戏画面。将其封装为一个类,有助于我们更加便捷的管理游戏所呈现的视觉效果。

  1
  2
  3
  4
  5
  6
  7
  8
  9
 10
 11
 12
 13
 14
 15
 16
 17
 18
 19
 20
 21
 22
 23
 24
 25
 26
 27
 28
 29
 30
 31
 32
 33
 34
 35
 36
 37
 38
 39
 40
 41
 42
 43
 44
 45
 46
 47
 48
 49
 50
 51
 52
 53
 54
 55
 56
 57
 58
 59
 60
 61
 62
 63
 64
 65
 66
 67
 68
 69
 70
 71
 72
 73
 74
 75
 76
 77
 78
 79
 80
 81
 82
 83
 84
 85
 86
 87
 88
 89
 90
 91
 92
 93
 94
 95
 96
 97
 98
 99
100
101
102
103
104
105
106
107
108
109
110
111
112
113
114
115
116
117
118
119
120
121
122
123
124
125
126
127
128
129
#ifndef CAMERA_H
#define CAMERA_H

#include <glad/glad.h>
#include <glm/glm.hpp>
#include <glm/gtc/matrix_transform.hpp>

#include <vector>

// 定义相机移动的几个可能选项,用作抽象以远离特定于窗口系统的输入法
enum Camera_Movement {
    FORWARD,
    BACKWARD,
    LEFT,
    RIGHT
};

// 默认摄像机的值
const float YAW = -90.0f;
const float PITCH = 0.0f;
const float SPEED = 2.5f;
const float SENSITIVITY = 0.1f;
const float ZOOM = 45.0f;

// 一个抽象的相机类,处理输入并计算在OpenGL中使用的对应的Euler角,向量和矩阵
class Camera
{
public:
    // 摄像机属性
    glm::vec3 Position;         // 坐标
    glm::vec3 Front;            // 摄像机朝向
    glm::vec3 Up;               // 上轴,代表摄像机空间的y轴的正方向
    glm::vec3 Right;            // 右轴,代表摄像机空间的x轴的正方向
    glm::vec3 WorldUp;
    // 欧拉角
    float Yaw;                  // 偏航角
    float Pitch;                // 俯仰角
    // 相机选项
    float MovementSpeed;
    float MouseSensitivity;
    float Zoom;

    // 用向量构造
    Camera(glm::vec3 position = glm::vec3(0.0f, 0.0f, 0.0f), glm::vec3 up = glm::vec3(0.0f, 1.0f, 0.0f), float yaw = YAW, float pitch = PITCH) : Front(glm::vec3(0.0f, 0.0f, -1.0f)), MovementSpeed(SPEED), MouseSensitivity(SENSITIVITY), Zoom(ZOOM)
    {
        Position = position;
        WorldUp = up;
        Yaw = yaw;
        Pitch = pitch;
        updateCameraVectors();
    }
    // 用标量值构造
    Camera(float posX, float posY, float posZ, float upX, float upY, float upZ, float yaw, float pitch) : Front(glm::vec3(0.0f, 0.0f, -1.0f)), MovementSpeed(SPEED), MouseSensitivity(SENSITIVITY), Zoom(ZOOM)
    {
        Position = glm::vec3(posX, posY, posZ);
        WorldUp = glm::vec3(upX, upY, upZ);
        Yaw = yaw;
        Pitch = pitch;
        updateCameraVectors();
    }

    // 返回使用Euler Angles和LookAt Matrix计算的视图矩阵
    glm::mat4 GetViewMatrix()
    {
        return glm::lookAt(Position, Position + Front, Up);
    }

    // 处理从任何类似键盘的输入系统接收到的输入,接受摄像机定义的enum形式的输入参数(以从窗口系统中抽象出来)
    void ProcessKeyboard(Camera_Movement direction, float deltaTime)
    {
        float velocity = MovementSpeed * deltaTime;
        if (direction == FORWARD)
            Position += Front * velocity;
        if (direction == BACKWARD)
            Position -= Front * velocity;
        if (direction == LEFT)
            Position -= Right * velocity;
        if (direction == RIGHT)
            Position += Right * velocity;
    }

    // 处理从鼠标输入系统接收到的输入,预计其在x和y方向上的偏移值。
    void ProcessMouseMovement(float xoffset, float yoffset, GLboolean constrainPitch = true)
    {
        xoffset *= MouseSensitivity;
        yoffset *= MouseSensitivity;

        Yaw += xoffset;
        Pitch += yoffset;

        // 确保当pitch超出范围时,屏幕不会翻转
        if (constrainPitch)
        {
            if (Pitch > 89.0f)
                Pitch = 89.0f;
            if (Pitch < -89.0f)
                Pitch = -89.0f;
        }

        // 使用更新的欧拉角更新Front, Right, Up 向量 using the updated Euler angles
        updateCameraVectors();
    }

    // 处理从鼠标滚轮收到的输入,只需要考虑垂直轮轴
    void ProcessMouseScroll(float yoffset)
    {
        Zoom -= (float)yoffset;
        if (Zoom < 1.0f)
            Zoom = 1.0f;
        if (Zoom > 45.0f)
            Zoom = 45.0f;
    }

private:
    // 根据相机的(更新的)欧拉角计算前向量
    void updateCameraVectors()
    {
        // 计算新的 Front vector
        glm::vec3 front;
        front.x = cos(glm::radians(Yaw)) * cos(glm::radians(Pitch));
        front.y = sin(glm::radians(Pitch));
        front.z = sin(glm::radians(Yaw)) * cos(glm::radians(Pitch));
        Front = glm::normalize(front);
        // 类似地,重新计算 Right 和 Up vector
        Right = glm::normalize(glm::cross(Front, WorldUp));  // 对向量进行归一化,因为您向上或向下看的次数越多,它们的长度就越接近0,这会导致运动变慢。
        Up = glm::normalize(glm::cross(Right, Front));
    }
};
#endif

4.3 代码示例

  1
  2
  3
  4
  5
  6
  7
  8
  9
 10
 11
 12
 13
 14
 15
 16
 17
 18
 19
 20
 21
 22
 23
 24
 25
 26
 27
 28
 29
 30
 31
 32
 33
 34
 35
 36
 37
 38
 39
 40
 41
 42
 43
 44
 45
 46
 47
 48
 49
 50
 51
 52
 53
 54
 55
 56
 57
 58
 59
 60
 61
 62
 63
 64
 65
 66
 67
 68
 69
 70
 71
 72
 73
 74
 75
 76
 77
 78
 79
 80
 81
 82
 83
 84
 85
 86
 87
 88
 89
 90
 91
 92
 93
 94
 95
 96
 97
 98
 99
100
101
102
103
104
105
106
107
108
109
110
111
112
113
114
115
116
117
118
119
120
121
122
123
124
125
126
127
128
129
130
131
132
133
134
135
136
137
138
139
140
141
142
143
144
145
146
147
148
149
150
151
152
153
154
155
156
157
158
159
160
161
162
163
164
165
166
167
168
169
170
171
172
173
174
175
176
177
178
179
180
181
182
183
184
185
186
187
188
189
190
191
192
193
194
195
196
197
198
199
200
201
202
203
204
205
206
207
208
209
210
211
212
213
214
215
216
217
218
219
220
221
222
223
224
225
226
227
228
229
230
231
232
233
234
235
236
237
238
239
240
241
242
243
244
245
246
247
248
249
250
251
252
253
254
255
256
257
258
259
260
261
262
263
264
265
266
267
268
269
270
271
272
273
274
275
276
277
278
279
280
281
282
283
284
285
286
287
288
289
290
291
292
293
294
295
296
297
298
299
300
// 基于摄像机类,使用MVP矩阵转换
#define STB_IMAGE_IMPLEMENTATION
#include "stb_image.h"

#include <glad/glad.h>
#include <GLFW/glfw3.h>
#include <iostream>
#include <Shader.h>
#include <Camera.h>

#include <glm/glm.hpp>
#include <glm/gtc/matrix_transform.hpp>
#include <glm/gtc/type_ptr.hpp>

// 定义屏幕属性
const unsigned int SCR_WIDTH = 800;
const unsigned int SCR_HEIGHT = 600;

// 摄像机
Camera camera(glm::vec3(0.0f, 0.0f, 3.0f));
float lastX = SCR_WIDTH / 2.0f;
float lastY = SCR_HEIGHT / 2.0f;
bool firstMouse = true;

// 时间
float deltaTime = 0.0f; // 当前帧与上一帧的时间差
float lastFrame = 0.0f;

// 定义回调函数
void framebuffer_size_callback(GLFWwindow* window, int width, int height);
void processInput(GLFWwindow* window, Shader& ourShader);
void mouse_callback(GLFWwindow* window, double xpos, double ypos);
void scroll_callback(GLFWwindow* window, double xoffset, double yoffset);


int main() {
	glfwInit();
	GLFWwindow* window = glfwCreateWindow(SCR_WIDTH, SCR_HEIGHT, "LearnOpenGL", NULL, NULL);

	if (window == NULL) {
		std::cout << "Failed to create GLFW window" << std::endl;
		glfwTerminate();
		return -1;
	}
	glfwMakeContextCurrent(window);

	if (!gladLoadGLLoader((GLADloadproc)glfwGetProcAddress)) {
		std::cout << "Failed to initialize GLAD" << std::endl;
		return -1;
	}
	glViewport(0, 0, SCR_WIDTH, SCR_HEIGHT); 
	glfwSetFramebufferSizeCallback(window, framebuffer_size_callback);
	glfwSetCursorPosCallback(window, mouse_callback);
	glfwSetScrollCallback(window, scroll_callback);

	// 创建并编译渲染器
	Shader ourShader("E:/OpenGL Project/Project1/shaders/3.3.shader.vs",
		"E:/OpenGL Project/Project1/shaders/3.3.shader.fs");

	float vertices[] = {
	//  ---- 位置 ----    - 纹理坐标 -
	-0.5f, -0.5f, -0.5f,  0.0f, 0.0f,
	 0.5f, -0.5f, -0.5f,  1.0f, 0.0f,
	 0.5f,  0.5f, -0.5f,  1.0f, 1.0f,
	 0.5f,  0.5f, -0.5f,  1.0f, 1.0f,
	-0.5f,  0.5f, -0.5f,  0.0f, 1.0f,
	-0.5f, -0.5f, -0.5f,  0.0f, 0.0f,

	-0.5f, -0.5f,  0.5f,  0.0f, 0.0f,
	 0.5f, -0.5f,  0.5f,  1.0f, 0.0f,
	 0.5f,  0.5f,  0.5f,  1.0f, 1.0f,
	 0.5f,  0.5f,  0.5f,  1.0f, 1.0f,
	-0.5f,  0.5f,  0.5f,  0.0f, 1.0f,
	-0.5f, -0.5f,  0.5f,  0.0f, 0.0f,

	-0.5f,  0.5f,  0.5f,  1.0f, 0.0f,
	-0.5f,  0.5f, -0.5f,  1.0f, 1.0f,
	-0.5f, -0.5f, -0.5f,  0.0f, 1.0f,
	-0.5f, -0.5f, -0.5f,  0.0f, 1.0f,
	-0.5f, -0.5f,  0.5f,  0.0f, 0.0f,
	-0.5f,  0.5f,  0.5f,  1.0f, 0.0f,

	 0.5f,  0.5f,  0.5f,  1.0f, 0.0f,
	 0.5f,  0.5f, -0.5f,  1.0f, 1.0f,
	 0.5f, -0.5f, -0.5f,  0.0f, 1.0f,
	 0.5f, -0.5f, -0.5f,  0.0f, 1.0f,
	 0.5f, -0.5f,  0.5f,  0.0f, 0.0f,
	 0.5f,  0.5f,  0.5f,  1.0f, 0.0f,

	-0.5f, -0.5f, -0.5f,  0.0f, 1.0f,
	 0.5f, -0.5f, -0.5f,  1.0f, 1.0f,
	 0.5f, -0.5f,  0.5f,  1.0f, 0.0f,
	 0.5f, -0.5f,  0.5f,  1.0f, 0.0f,
	-0.5f, -0.5f,  0.5f,  0.0f, 0.0f,
	-0.5f, -0.5f, -0.5f,  0.0f, 1.0f,

	-0.5f,  0.5f, -0.5f,  0.0f, 1.0f,
	 0.5f,  0.5f, -0.5f,  1.0f, 1.0f,
	 0.5f,  0.5f,  0.5f,  1.0f, 0.0f,
	 0.5f,  0.5f,  0.5f,  1.0f, 0.0f,
	-0.5f,  0.5f,  0.5f,  0.0f, 0.0f,
	-0.5f,  0.5f, -0.5f,  0.0f, 1.0f
	};

	// 立方体在世界空间的位置
	glm::vec3 cubePositions[] = {
		glm::vec3(0.0f,  0.0f,  0.0f),
		glm::vec3(2.0f,  5.0f, -15.0f),
		glm::vec3(-1.5f, -2.2f, -2.5f),
		glm::vec3(-3.8f, -2.0f, -12.3f),
		glm::vec3(2.4f, -0.4f, -3.5f),
		glm::vec3(-1.7f,  3.0f, -7.5f),
		glm::vec3(1.3f, -2.0f, -2.5f),
		glm::vec3(1.5f,  2.0f, -2.5f),
		glm::vec3(1.5f,  0.2f, -1.5f),
		glm::vec3(-1.3f,  1.0f, -1.5f)
	};

	// 定义顶点缓冲、顶点数组
	unsigned int VBO, VAO;
	glGenBuffers(1, &VBO);
	glGenVertexArrays(1, &VAO);

	// 绑定VAO
	glBindVertexArray(VAO);
	// 把顶点数组复制到缓冲中供OpenGL使用
	glBindBuffer(GL_ARRAY_BUFFER, VBO);
	glBufferData(GL_ARRAY_BUFFER, sizeof(vertices), vertices, GL_STATIC_DRAW);
	// 设置顶点位置
	glVertexAttribPointer(0, 3, GL_FLOAT, GL_FALSE, 5 * sizeof(float), (void*)0);
	glEnableVertexAttribArray(0);
	// 设置顶点纹理坐标
	glVertexAttribPointer(1, 2, GL_FLOAT, GL_FALSE, 5 * sizeof(float), (void*)(3 * sizeof(float)));
	glEnableVertexAttribArray(1);

	unsigned int texture1, texture2;
	// 创建纹理1
	glGenTextures(1, &texture1);
	glBindTexture(GL_TEXTURE_2D, texture1);
	// 为当前绑定的纹理对象设置环绕、过滤方式
	glTexParameteri(GL_TEXTURE_2D, GL_TEXTURE_WRAP_S, GL_REPEAT);
	glTexParameteri(GL_TEXTURE_2D, GL_TEXTURE_WRAP_T, GL_REPEAT);
	glTexParameteri(GL_TEXTURE_2D, GL_TEXTURE_MIN_FILTER, GL_LINEAR);
	glTexParameteri(GL_TEXTURE_2D, GL_TEXTURE_MAG_FILTER, GL_LINEAR);
	// 加载并生成纹理
	int width, height, nrChannels;
	unsigned char* data = stbi_load("container.jpg", &width, &height, &nrChannels, 0);
	if (data)
	{
		glTexImage2D(GL_TEXTURE_2D, 0, GL_RGB, width, height, 0, GL_RGB, GL_UNSIGNED_BYTE, data);
		glGenerateMipmap(GL_TEXTURE_2D);
	}
	else
	{
		std::cout << "Failed to load texture" << std::endl;
	}
	// 纹理及多级渐远纹理生成完毕后,释放图片内存
	stbi_image_free(data);

	// 创建纹理2
	glGenTextures(1, &texture2);
	glBindTexture(GL_TEXTURE_2D, texture2);
	glTexParameteri(GL_TEXTURE_2D, GL_TEXTURE_WRAP_S, GL_REPEAT);
	glTexParameteri(GL_TEXTURE_2D, GL_TEXTURE_WRAP_T, GL_REPEAT);
	glTexParameteri(GL_TEXTURE_2D, GL_TEXTURE_MIN_FILTER, GL_LINEAR);
	glTexParameteri(GL_TEXTURE_2D, GL_TEXTURE_MAG_FILTER, GL_LINEAR);
	stbi_set_flip_vertically_on_load(true);		// 读取图片时翻转图片的y轴用于解决OpenGL与图片y轴坐标相反的情况
	data = stbi_load("awesomeface.png", &width, &height, &nrChannels, 0);
	if (data)
	{
		// 请注意,awesomeface.png具有透明度,因此有一个alpha通道,所以请确保告诉OpenGL数据类型是GL_RGBA
		glTexImage2D(GL_TEXTURE_2D, 0, GL_RGBA, width, height, 0, GL_RGBA, GL_UNSIGNED_BYTE, data);
		glGenerateMipmap(GL_TEXTURE_2D);
	}
	else
	{
		std::cout << "Failed to load texture" << std::endl;
	}
	stbi_image_free(data);

	ourShader.use(); // 不要忘记在设置uniform变量之前激活着色器程序!
	ourShader.setInt("texture1", 0);
	ourShader.setInt("texture2", 1); 

	glEnable(GL_DEPTH_TEST);	// 开启Z-Buffer,默认情况下OpenGL关闭了Z-Buffer
	glfwSetInputMode(window, GLFW_CURSOR, GLFW_CURSOR_DISABLED);	// 隐藏鼠标
	// 渲染循环
	while (!glfwWindowShouldClose(window))
	{
		// 每帧时间逻辑
		float currentFrame = glfwGetTime();
		deltaTime = currentFrame - lastFrame;
		lastFrame = currentFrame;

		// 输入
		processInput(window, ourShader);

		// 清屏
		glClearColor(0.2f, 0.3f, 0.3f, 1.0f);
		glClear(GL_COLOR_BUFFER_BIT | GL_DEPTH_BUFFER_BIT);		// 清理颜色缓冲值和深度缓冲值

		// 激活并绑定材质
		glActiveTexture(GL_TEXTURE0);
		glBindTexture(GL_TEXTURE_2D, texture1);
		glActiveTexture(GL_TEXTURE1);
		glBindTexture(GL_TEXTURE_2D, texture2);

		// 激活渲染器
		ourShader.use();

		// 坐标变换
		glm::mat4 projection = glm::mat4(1.0f);
		projection = glm::perspective(glm::radians(camera.Zoom), (float)SCR_WIDTH/ (float)SCR_HEIGHT, 0.1f, 100.0f);
		ourShader.setMat4("projection", projection);

		glm::mat4 view = camera.GetViewMatrix();
		ourShader.setMat4("view", view);

		glBindVertexArray(VAO);
		for (unsigned int i = 0; i < 10; i++)
		{
			glm::mat4 model(1.0f);
			model = glm::translate(model, cubePositions[i]);
			float angle = 20.0f * i;
			if (i % 3 == 0) {
				angle = glfwGetTime() * 25.0f;
			}
			model = glm::rotate(model, glm::radians(angle), glm::vec3(1.0f, 0.3f, 0.5f));
			ourShader.setMat4("model", model);

			glDrawArrays(GL_TRIANGLES, 0, 36);
		}
		// 检查并调用事件,交换缓冲
		glfwPollEvents();
		glfwSwapBuffers(window);
	}
	glDeleteVertexArrays(1, &VAO);
	glDeleteBuffers(1, &VBO);

	glfwTerminate();
	return 0;
}


// 视口回调函数
void framebuffer_size_callback(GLFWwindow* window, int width, int height) {
	glViewport(0, 0, width, height);
}

// 键盘输入回调函数
void processInput(GLFWwindow* window, Shader& ourShader)
{
	static float percentage = 0.2f;
	if (glfwGetKey(window, GLFW_KEY_ESCAPE) == GLFW_PRESS)
		glfwSetWindowShouldClose(window, true);

	if (glfwGetKey(window, GLFW_KEY_UP) == GLFW_PRESS) {
		percentage += 0.01f;
		percentage = std::min(percentage, 1.0f);
	}
	if (glfwGetKey(window, GLFW_KEY_DOWN) == GLFW_PRESS) {
		percentage -= 0.01f;
		percentage = std::max(percentage, 0.0f);
	}
	ourShader.setFloat("percentage", percentage);

	if (glfwGetKey(window, GLFW_KEY_W) == GLFW_PRESS)
		camera.ProcessKeyboard(FORWARD, deltaTime);
	if (glfwGetKey(window, GLFW_KEY_S) == GLFW_PRESS)
		camera.ProcessKeyboard(BACKWARD, deltaTime);
	if (glfwGetKey(window, GLFW_KEY_A) == GLFW_PRESS)
		camera.ProcessKeyboard(LEFT, deltaTime);
	if (glfwGetKey(window, GLFW_KEY_D) == GLFW_PRESS)
		camera.ProcessKeyboard(RIGHT, deltaTime);
}

// 鼠标回调函数
void mouse_callback(GLFWwindow* window, double xpos, double ypos)
{
	if (firstMouse)
	{
		lastX = xpos;
		lastY = ypos;
		firstMouse = false;
	}

	float xoffset = xpos - lastX;
	float yoffset = lastY - ypos; // reversed since y-coordinates go from bottom to top

	lastX = xpos;
	lastY = ypos;

	camera.ProcessMouseMovement(xoffset, yoffset);
}

// 鼠标滚轮回调函数
void scroll_callback(GLFWwindow* window, double xoffset, double yoffset)
{
	camera.ProcessMouseScroll(yoffset);
}

着色器设置

 1
 2
 3
 4
 5
 6
 7
 8
 9
10
11
12
13
14
15
16
// vertex shader
#version 330 core
layout (location = 0) in vec3 aPos;
layout (location = 1) in vec2 aTexCoord;

out vec2 TexCoord;

uniform mat4 model;
uniform mat4 view;
uniform mat4 projection;

void main()
{
	gl_Position = projection * view * model * vec4(aPos, 1.0);
	TexCoord = vec2(aTexCoord.x, aTexCoord.y);
}
 1
 2
 3
 4
 5
 6
 7
 8
 9
10
11
12
13
14
15
16
// Fragment Shader
#version 330 core
out vec4 FragColor;

in vec2 TexCoord;

uniform float percentage;
uniform sampler2D texture1;
unifomr sampler2d texture2;

void main()
{
	// linearly interpolate between both textures
    FragColor = mix(texture(texture1, TexCoord), texture(texture2, TexCoord), percentage);
}